My Collection: Nu-era Grosvenor WLGRS70IL
| Manufacturer | Nu-era |
| Catalogue Number (model) | Grosvenor WLGRS70IL |
| Wattage | 70W |
| Lamp-Type | SON-E/T(/I?) |
| Gear | Original |
| Ballast | Ding Sheng NaHJ 70 |
| Ignitor | Parmar Venture PAE400255 |
| Capacitor | Ding Sheng CBB80 (12μF) |
| IP Rating (when new) | IP65 |
| Date Of Manufacture | ~~/05/2012 |
| Date on Ignitor | 19/10/2013 |
| Date Acquired | 01/09/2025 |
| Restoration Status | As-Received (NOS) |
| Collection Number | #180 |
This Wallpack is an odd one. On the box, it had the CAT.No and lamp-type marked as 70W HQI, but the luminaire itself was marked as SON on the sticker, and has an ignitor for 100W-400W HPS or 35W-450W MH. The mystery deepens when the instructions state to use lamps with an internal ignitor! This is my second NOS Wallpack lantern. Other manufacturers also made this semi-circle style of bulkhead, and indeed, this was purchased to replace a Fitzgerald version in the collection. The Fitzgerald one was given away.
A protective film covered the reflector - the reason the lantern appears blue inside in the first image.
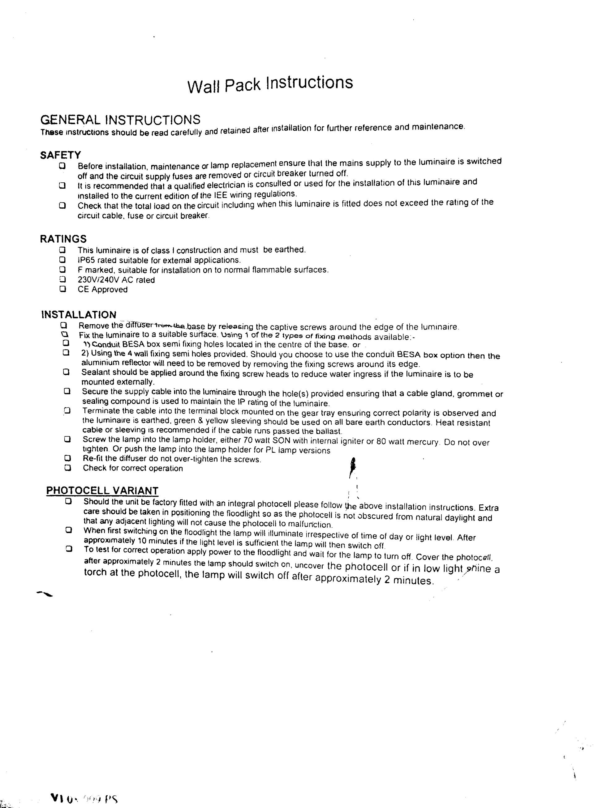
The lantern came with installation instructions. These instructions reveal that there was an 80W Mercury version, as well as a PL version. It also clarifies that a photocell could be requested, but this is no-such example.
Inside is a HQI lamp - the one from the Fitzgerald bulkhead actually.
A few scuff marks from storage are the only damage to the lantern, but as it had been in the box for 11 years, it's nothing to whine about!
The ignitor is rated for a 100W HPS lamp at least, but this is a 70W lantern. It probably won't do too much damage to the lamp, anyhow.
It appears to have a date on the back. I think this could refer to the 19/10/2013 - but I'm not sure.
The sticker inside the lantern conflicts with the one on the box. It also has an "I" after 70 in the Cat.No, so I wonder if that refers to SON-I. If it does, then even the sticker inside is incorrect!
Below are some photos showcasing a comparison between the Nu-era and Fitzgerald versions, as well as a list of a few of the differences I noticed.
•The Fitzgerald version has just four screws holding the cover on - the Grosvenor Wallpack has seven.
•Nu-era's has hinges on the diffuser.
•The capacitor and ignitor are in the opposite positions (this could just be chance).
•The Fitzgerald bulkhead's reflector is a lot more angular, and is missing two sections at the bottom.
•The Fitzgerald bulkhead's reflector is held on with two screws, unlike the three in Nu-era's (the would-be positions of the two screws are still visible at the bottom though!).
•Grosvenor's version lacks the horizontal refractor lines on the diffuser.
•Different gear components.
The lantern was given a 70W SON-T lamp and fired up for the first time.